新闻资讯

News

新闻资讯

有源滤波器选型方法

2022-04-19 1836

谐波电流的计算涉及到诸多因素,常规项目谐波电流的计算,可以使用电能质量分析仪。对于新建项目,设计阶段电气设计人员并不能获取足够的电气设备谐波数据;鉴于此,能容电力根据对众多行业的测试及经验总结,得到经验公式供电气设计人员参考。

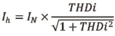
通过如下的经验公式,可以满足设计要求;根据计算出来的谐波电流来选型ZRYYLB;

1.集中治理

注意:

上式适用于在变压器二次侧进行集中治理。

公式参数介绍:

S:变压器额定容量;U:变压器二次侧额定电压;

I: 谐波电流;THDi:电流总谐波畸变率。

K:负荷率;

表示变压器的负荷率,变压器设计时的取值范围0.6~0.85。

THDi是上式中唯一的变量,它的取值范围视行业的不同、各行业负载的不同而定。

2.就地治理

上式是针对在变压器二次侧对谐波进行集中治理的情况而定,在这里,推荐设计人员 在变压器二次侧进行治理。若配电中存在较大功率的谐波源负载,亦可以在负载的输入端进行就地治理。可以使用如下公式2进行计算。

联系我们
扫一扫,加我为朋友
© 浙江能容电力设备有限公司   浙ICP备15003026号-1   XML   网站地图   网站制作维护:传信网络

在线
QQ

点击这里给我发消息 329095578
在线QQ

微信
咨询

扫一扫,加我为朋友
扫一扫,加我为朋友

服务
热线

86-0577-62679019
服务热线

客服
邮箱

18605109999@qq.com
客服邮箱